Formelregister


B02B A
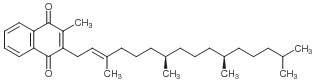
Vitamin K
B02B A01
Fytomenadion
Fytomenadion
Fytomenadion
B02B B
Fibrinogen
B02B B01
Fibrinogen, humant
B02B C
Lokale hemostatika
B02B C30
Kombinasjoner
B02B D
Blodkoagulasjonsfaktorer
B02B D01
Koagulasjonsfaktor II, VII, IX og X, kombinasjoner
B02B D02
Koagulasjonsfaktor VIII
B02B D03
Faktor VIII-inhibitor bypass-aktivitet
B02B D04
Koagulasjonsfaktor IX
B02B D06
Von Willebrand faktor og koagulasjonsfaktor VIII i kombinasjon
B02B D07
Koagulasjonsfaktor XIII
B02B D08
Koagulasjonsfaktor VIIa
B02B D10
Von Willebrand faktor
B02B D11
Katridekakog
B02B D14
Susoktokog alfa
B02B D16
Etranakogendezaparvovek
B02B X
Andre systemiske hemostatika
B02B X04
Romiplostim
B02B X05
Eltrombopag
B02B X06
Emicizumab
B02B X08
Avatrombopag
B02B X09
Fostamatinib


Utskrift (pdf)