FELLESKATALOGEN
Dette er et søkefelt med autofullføringsforslag. Start å skrive og du vil få opp forslag på virkestoff, legemidler og bruksområder, som du kan velge mellom. Bruk Søke-knappen hvis autofullføringsforslagene ikke er relevante, eller Strekkode-knappen hvis du ønsker å skanne strekkoden på legemiddelpakningen.
Søk i alt innhold
Interaksjonsanalyse

Legemidler A-Z

ATC-register

Vaksiner

Apotekpreparater

Virkestoffregister

Formelregister

Legemidler på godkjenningsfritak

Sortimentsendringer

Pasientinformasjon


Anafylaksibehandling

Forgiftninger

Graviditet og legemidler

Amming og legemidler

Miljø og legemidler

Varsler fra DMP

Priser på legemidler

Regelverk og forskrifter


Innstillinger

Søkeverktøy

Mobilapper

Integrasjon med FK

Klinisk Beslutningsstøtte

Om Felleskatalogen

Adresser


Legemidler for dyr


Siste besøkte sider (deaktiveraktiver) Amfotericin B

Formelregister


Formelindeks
A FORDØYELSESORGANER OG STOFFSKIFTE
B BLOD OG BLODDANNENDE ORGANER
C HJERTE OG KRETSLØP
D DERMATOLOGISKE MIDLER
G UROGENITALSYSTEM OG KJØNNSHORMONER
H HORMONER TIL SYSTEMISK BRUK, UNNTATT KJØNNSHORMONER OG INSULINER
J ANTIINFEKTIVER TIL SYSTEMISK BRUK
J01 Antibakterielle midler til systemisk bruk
J02 Antimykotika til systemisk bruk
J02A Antimykotika til systemisk bruk
J02A A
Antibiotika
J02A A01
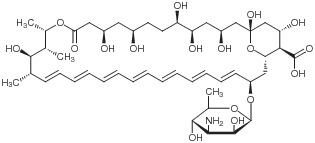
Amfotericin B
Amfotericin B
Amfotericin B
J02A C
Triazol- og tetrazolderivater
J02A C01
Flukonazol
Flukonazol
Flukonazol
J02A C02
Itrakonazol
Itrakonazol
Itrakonazol
J02A C03
Vorikonazol
Vorikonazol
Vorikonazol
J02A C04
Posakonazol
Posakonazol
Posakonazol
J02A C05
Isavukonazol
J02A X
Andre antimykotika til systemisk bruk
J02A X04
Kaspofungin
Kaspofungin
Kaspofungin
J02A X05
Mikafungin
J02A X06
Anidulafungin
Anidulafungin
Anidulafungin
J04 Antimykobakterielle midler
J05 Antivirale midler til systemisk bruk
J06 Immunsera og immunglobuliner
J07 Vaksiner
L ANTINEOPLASTISKE OG IMMUNMODULERENDE MIDLER
M MUSKLER OG SKJELETT
N NERVESYSTEMET
P ANTIPARASITÆRE MIDLER, INSEKTICIDER OG INSEKTMIDLER
R RESPIRASJONSORGANER
S SANSEORGANER
V VARIA


Utskrift (pdf)

Disclaimer

Personvern

Retningslinjer for digital bruk

Kontakt Felleskatalogen